86 Esoterica Im Inneren Der Erde Losung 2021 (Photos)

4k Wallpapers and HD.

Esoterica Im Inneren Der Erde Losung. Esoterica: Im Inneren der Erde Gratis Download bei DEUTSCHLAND SPIELT! Tipps und Tricks zu Esoterica - Im Inneren der Erde einsenden.

Forschung für die Lösung der Energie- und Klimaprobleme ...
Forschung für die Lösung der Energie- und Klimaprobleme ... (Herbert Hill)
Näheres dazu im Video → Esoterica ← In Esoterica: Im Inneren der Erde wartet das legendäre Land Agartha darauf, von dir entdeckt zu werden. Richtig heiß ist allerdings nur der innere Kern unseres Planeten. Top Secret - Im Inneren der … Steckbrief Erde.

Wenn du Esoterika - Im Inneren der Erde in den SpieleAgenten aufnimmst, wird automatisch eine E-Mail an dich verschickt, sobald wir Beiträge zu diesem Spiel haben.

Nicht nur Menschen scheinen von diesen merkwürdigen „Hintergrundgeräuschen der Erde" verunsichert; auch Tiere reagieren irritiert auf diese Ereignisse Für Giuliana Conforto sind diese Geräusche akustische Erscheinungen von besonders intensiven Aktivitäten im inneren unserer Erde.

Spiel Esoterica: Im Inneren der Erde | Alawar

NASA nahm Kontakt zu einem alten Raumschiff außerhalb ...

Was ist Erdwärme? Wie entsteht Erdwärme? - Erdwärme-Zeitung.de

Stromspeicher: Warum Kalium-Batterien die Lösung sein ...

Die Erde - Planet im Sonnensystem Durchmesser der Planeten

Klimatisiert zu den schönsten Regionen der Erde - DIE ...

. Die Arbeit im Labor in der Bakteriologie. Die ...

Purple Hills Wimmelbildspiele: Wimmelbild-PC-Spiel ...

Die Erde - Planet im Sonnensystem Gradnetz der Erde

Aktuelle Kriegsherde auf der Erde › Ortsverein

Garten und Terrasse / Mit GARDENA raus aus Winterschlaf ...

Warum ist die Erde überhaupt magnetisch?

Die Erde - Planet im Sonnensystem Namen der Planeten

Weggeworfen by Candida Brady 2012 - Filme für die Erde

Doku-Tipp: "Kiss the Ground" auf Netflix - Utopia.de

Schneeketten STIHL ASK 020 kaufen für nur 128,56 ...

Welt der Physik: Kräfte in granularen Materialien enthüllt

Dramatische Risiken des Klimawandels für die ...

Lösung für das Plastik-Problem der Weltmeere? - [GEO]

Esoterica - Im Inneren der Erde Spieletest: Mysteriöses ...

Forschung für die Lösung der Energie- und Klimaprobleme ...

doc - Klett.de

Normale Häuser waren ihr zu langweilig, deshalb baute sie ...

RAOnline EDU Erdkunde: Kontinentalverschiebung ...

Das magnetische Dipolfeld der Erde

Spiel Esoterica: Im Inneren der Erde | Alawar

Die Erde - Planet im Sonnensystem Kontinente

Esoterica – Im Inneren der Erde

Weltraum: Strategie für Müllentsorgung im Weltall gesucht ...

Zeitzonen und Reisen – Unterrichtsmaterial im Fach Erdkunde

Esoterica: Im Inneren der Erde kostenlos herunterladen bei ...

GEO-DVD001 - Die Erde - Planet im Sonnensystem ...

Geografie: Arbeitsmaterialien Erde - Bewegungen und Folgen ...

Aufbau der Erde

EASYmaxx 07787 Flaschenkühler Outdoor |: Amazon.de ...

Webinar: Zyklus - Die Lösung von Schmerzfeldern ...

Vollautomatischer Präzisions-Vermessungskreisel ...

Der blaue Planet und seine Geozonen – RSG-Wiki

Zweitgrößter Eispanzer der Erde schmilzt auch im Winter ...

Raketensilo wird zum Luxusbunker

Esoterica - Im Inneren der Erde Spieletest: Mysteriöses ...

Nahtstellen der Erde – Japan – Lösung West Ost

Magnetfeld der Erde

Esoterica - Im Inneren der Erde Spieletest: Mysteriöses ...

Corioliskraft: Erklärung, Formel, Auftreten auf der Erde ...

Dieses Quiz schafft nur, wer in Erdkunde eine 1 hatte ...

Solarmodule im Weltall - Der Weg zu "Stellarer Energie ...

Esoterica - Im Inneren der Erde - Walkthrough Part 3 - YouTube

Esoterica - Im Inneren der Erde Spieletest: Mysteriöses ...

Magnetfeld von elektrischen Strömen - Chemgapedia

Sternwarte Höfingen - Geschichte der Entfernungsmessung

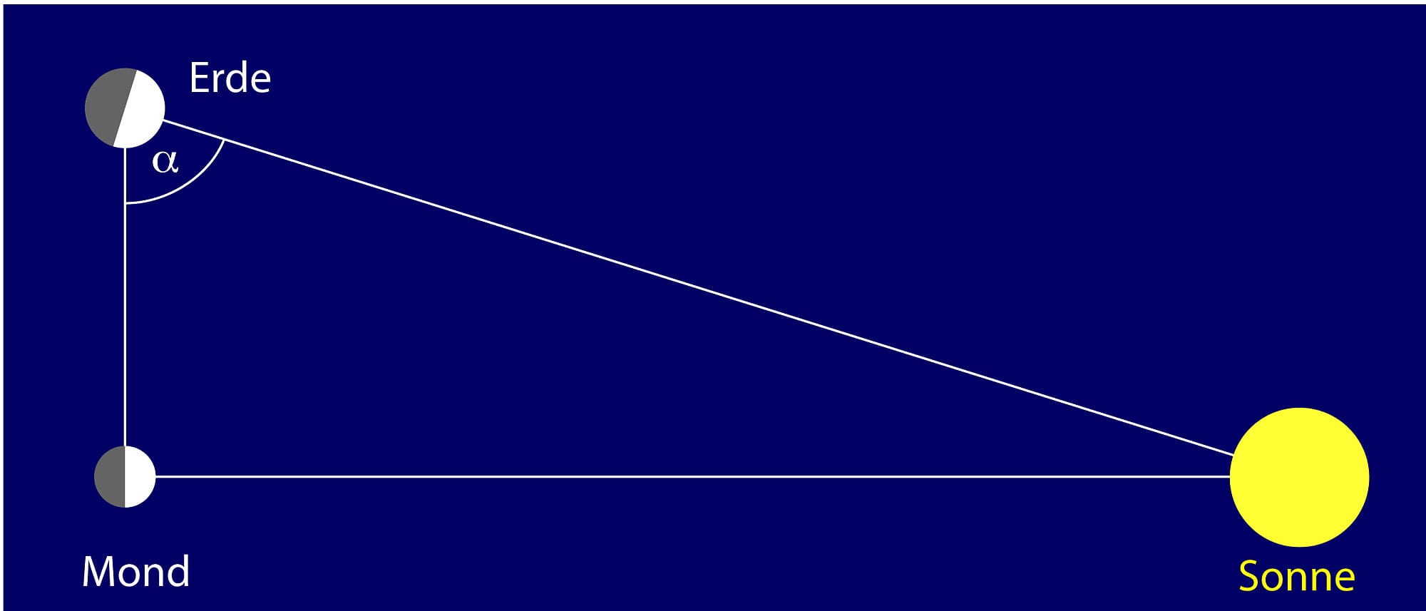
Erdbahn- und Mondbahnradius - Treitz-Rätsel für Mathematik ...

Mulch-Kit STIHL AMK 082 kaufen für nur 108,70 € -Zubehör ...

Spiel Esoterica: Im Inneren der Erde | Alawar

Esoterica – Im Inneren der Erde

Spiel Esoterica: Im Inneren der Erde | Alawar

Erde Steckbrief Lösung - Astrokramkiste

Gibt es im Untersberg einen Zugang ins innere der Erde? Stattdessen tritt das Blut aus Blutgefäßen im Inneren des Körpers aus und sammelt sich im Gewebe oder in den Körperhöhlen - zum Beispiel dem Bauchraum - an. entdecke und sammle die besten download spiele zum nachdenken spiele download, auch zum nachdenken denkspiele, spiele bei denen du denken und nachdenken musst bei uns findest du spiele für pc und andere computerspiele Esoterica - Im Inneren der Erde lösung bei uns findest du.